Qué es el modelo EOQ y cómo aplicarlo

Gestionar el inventario de manera eficiente es un verdadero desafío, y es ahí donde entra en juego el modelo EOQ, una herramienta ampliamente difundida en la gestión de inventarios.
En este artículo, exploraremos todo lo que necesitas saber sobre el modelo EOQ: qué es, cuáles son sus pros y contras, cómo es su fórmula, etc. Pero también te anticipamos que más adelante revelaremos una opción superadora a este clásico modelo porque el mundo avanza y quienes se quedan atrás corren el peligro de perder la carrera.
¡Vamos a por ello!
¿Qué es el modelo EOQ (Cantidad Económica de Pedido)?
El Modelo de Cantidad Económica de Pedido (EOQ, por sus siglas en inglés Economic Order Quantity) es una herramienta de gestión de inventarios que se utiliza para determinar la cantidad óptima de pedido para un artículo.
Su principal objetivo es minimizar los costes de inventario, al tiempo que se garantiza la disponibilidad de los productos manteniendo unos niveles de inventario equilibrados.
En otras palabras, mantener un inventario excesivo puede resultar costoso en términos de almacenamiento y posibles pérdidas por obsolescencia, mientras que un inventario insuficiente puede llevar a la pérdida de ventas y la insatisfacción de los clientes. El EOQ busca encontrar ese punto de equilibrio.
Pros y Contras del modelo EOQ en la Supply Chain
A continuación, exploraremos en detalle los beneficios que ofrece esta metodología, así como los desafíos que puede presentar en el entorno dinámico de la supply chain:
Beneficios del modelo EOQ
El modelo de Cantidad Económica de Pedido ofrece una serie de ventajas fundamentales para la gestión eficiente de la cadena de suministro. Su principal beneficio radica en la consecución de su objetivo central: la optimización de los costes totales asociados con el inventario. Al lograr este objetivo, se logra un uso más eficiente de los recursos financieros de la empresa y se experimenta una mejora general en la rentabilidad del negocio.
Además, el modelo EOQ se distingue por su simplicidad y facilidad de aplicación en comparación con otros modelos complejos de gestión de inventarios. Esta simplicidad facilita su implementación en entornos empresariales, permitiendo a las organizaciones mejorar su eficiencia operativa con mayor agilidad.
Inconvenientes del EOQ
El modelo Economic Order Quantity parte de ciertos supuestos que, en muchas ocasiones, limitan su utilidad para la actualidad de numerosas empresas. En la realidad, la demanda fluctúa y los costes pueden variar debido a múltiples factores, lo que puede llevar a desviaciones entre las predicciones del modelo y la situación real.
Suponer una demanda constante o un agotamiento constante del stock difiere de las variaciones que ocurren en la dinámica empresarial. Esto hace que el modelo no resulte efectivo para aquellas compañías cuyos productos enfrentan demandas estacionales, picos puntuales o patrones irregulares.
Además, el EOQ no considera los descuentos que se pueden obtener por rappels y conceptos similares a pesar de ser comunes en las estrategias de comercialización. Estos descuentos pueden llegar a compensar los costos de almacenamiento, por lo que no tenerlos en cuenta puede llevar a errores en la toma de decisiones.
Otro supuesto del modelo es que el tiempo en la reposición del inventario es constante, lo cual no siempre es realista en la práctica. Las roturas de stock son situaciones frecuentes que retrasan la reposición del inventario, algo que no contempla plenamente el modelo EOQ.
Estas limitaciones en los supuestos subrayan la necesidad de adaptar y personalizar las estrategias de gestión de inventario según las particularidades y dinámicas específicas de cada empresa, lo que termina por hacer que el modelo no sea tan efectivo.
Los costes básicos en el EOQ
A continuación encontrarás los costes que se deben tener en cuenta al momento de implementar este modelo:
Costes de pedido: Estos costes surgen cada vez que se realiza un pedido de reposición de inventario y abarcan gastos como el procesamiento de la orden, el transporte y la recepción de los productos. Reducir estos costes muchas veces implica realizar pedidos más grandes y menos frecuentes.
Los costes de mantenimiento del inventario: Estos son los gastos asociados con mantener el inventario en almacenamiento. Estos costes incluyen los costos de almacenamiento, el costo del capital invertido en el inventario, los costos de seguro, el costo de obsolescencia y deterioro, y los costos de oportunidad. Es fundamental mantener estos costes lo más bajos posible, y el EOQ apunta a lograr este equilibrio al determinar la cantidad óptima de inventario.
Costes totales: El modelo EOQ justamente busca minimizar los costes totales, que comprenden tanto los costes de pedido como los costes de mantenimiento del inventario.
Aplicación matemática del modelo EOQ
La fórmula de este modelo más conocida es la Fórmula de Wilson desarrollada en 1913.
Esta fórmula se fundamenta en las siguientes premisas:
El costo de efectuar un pedido es constante.
La tasa de demanda es previsible y distribuida de manera uniforme durante el año.
El tiempo necesario para recibir un pedido es constante.
El precio por unidad de compra se mantiene invariable, es decir, no hay disponibilidad de descuentos.
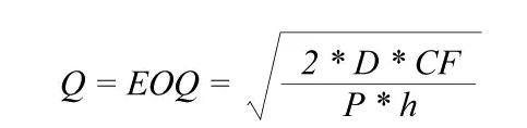
A nivel matemático se puede representar de la siguiente manera:

Las variables presentes en la fórmula son:
"D": Demanda anual del producto.
"CF": Costo fijo por pedido (no es el costo por unidad, sino el costo asociado a la operación de pedido y envío).
"P": Precio del producto.
"h": Costos de almacenamiento expresados como un porcentaje del precio.
Como bien podrás notar la fórmula tiene mucho tiempo y si bien ha sufrido algunos cambios por Wilson en 1915 y Camp en 1922, su esencia fundamental ha perdurado a lo largo de los años. Es por esto que es momento de ir un paso más adelante, ¡sigamos en la próxima sección!
Superando el modelo EOQ
El Modelo EOQ ha sido un pilar en la optimización de inventarios durante mucho tiempo. Sin embargo, en Valerdat creemos en la constante búsqueda de mejoras y en la evolución de métodos. Aunque el EOQ es reconocido en la industria, también reconocemos que existen alternativas innovadoras que podrían ofrecer soluciones más efectivas.
La fórmula histórica, que se remonta a 1913, se basa en el supuesto de que el costo de realizar un pedido es el principal impulsor del negocio y pasa por alto los descuentos a los que se puede acceder mediante rappels y escalados. La optimización propuesta por esta fórmula clásica a menudo carece de sentido en el entorno moderno de gestión de la cadena de suministro.
En contraposición, en Valerdat, hemos desarrollado un sistema que se adapta a las circunstancias reales de cada momento. No se limita a ofrecer un lote óptimo estático, sino que varía según el contexto y las condiciones. En nuestro enfoque, la cantidad que compramos no depende únicamente del precio de compra y los costos logísticos. Consideramos un abanico más amplio de variables, como el lead time, los riesgos y todos los elementos relevantes.
Nuestro sistema te brinda el lote óptimo de CADA DÍA ajustándose según el contexto de compras en ese momento específico. Valoramos una gama completa de elementos, lo que permite tomar decisiones más informadas y adaptadas a la realidad dinámica de la gestión de inventarios.
En lugar de seguir un enfoque estático, optamos por la flexibilidad y la agilidad para maximizar la eficiencia y los ahorros en la gestión de inventarios y, en última instancia, mejorar el rendimiento general de la cadena de suministro.
No te conformes con un modelo EOQ, innova y alcanza un nivel superior que se adapte a la dinámica real del mercado.
